2 / 3
廃線隧道(ずいどう) 第2話 カバンの中身
しおりを挟む
家に持ち帰ったカバンの中には、研究内容を書き留めたノートと、リモコンの様な装置が入っていた、
ノートには、以下の内容が書かれていた。
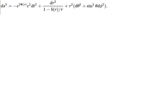
● アインシュタイン-ローゼン橋(はし)は、漸近的に平坦なアインシュタイン方程式の厳密解を極大に拡大した時空に現れるもので、2つの漸近的に平坦な時空を結ぶ構造となっている。
● 通過可能なアインシュタイン-ローゼン橋(はし)の数式を示す。
この数式において、 Φファイ ( r ) は 重力赤方偏移の尺度、b ( r ) はアインシュタイン-ローゼン橋(はし)の3次元形状と定義する。
● 両サイドを光の世界線(光の時空上の軌跡)にはさまれた「光円錐」
において、中央を貫く軸線は、下半分の円錐「過去領域」から、上半分の円錐「未来領域」へと進む「時間」を表している。
● ヴァン・ストッカム・ダストが、対称軸の周囲を回転して円柱を形成するとき、その対称軸に重力場が生成される。
この軸から外側に離れるにつれて光円錐は傾いていき、円柱の周囲に
CTC(closed timelike curve/時間的閉曲線)が形成される。 、
● 時間的閉曲線は、時間的な曲線であり、過去の世界への時間旅行を可能とする。
時間的閉曲線を含む時空を形成できれば、タイムマシンを作ることができる。
● ティプラー 円筒(Tipler cylinder)は、1936 年にウィレム ヤコブ ファン シュトックムと、1924 年にコーネル ランチョスによって一般相対性理論の方程式の解として発見された。
このティプラー円筒は、無限に長い円筒を高速で回転させるものである。また、この円筒は、各々の粒子が、互いに力を及ぼしあわないダスト流体からなる。
円筒表面の回転速度が、光速の半分以上になると、光円錐が傾いて、時間的な線が閉じる領域ができる。この領域では、時間がループになり、タイムトラベルが可能となる。
● ミンコフスキー時空
は、横軸に場所、縦軸に時間をとり、原点に観測者を置いた空間のことである。ミンコフスキー時空上の直線の傾きは、物体の速度を表す。特に、縦軸をでとっているため、光速の傾きが45度になる。この光速を表す線を母線とする円錐を、光錐
と呼ぶ。
あらゆる物体は光よりも早く動けないので、ミンコフスキー時空上で物体の運動を考えるとき、その物体を表す矢印の傾きは赤い線より大きくなくてはならない(矢印は光錐の内部にのみ存在できると言い換え可能)。さらに、物体は過去には進まないため、物体を表す矢印は下方向には向かない。
ノートには、以下の内容が書かれていた。
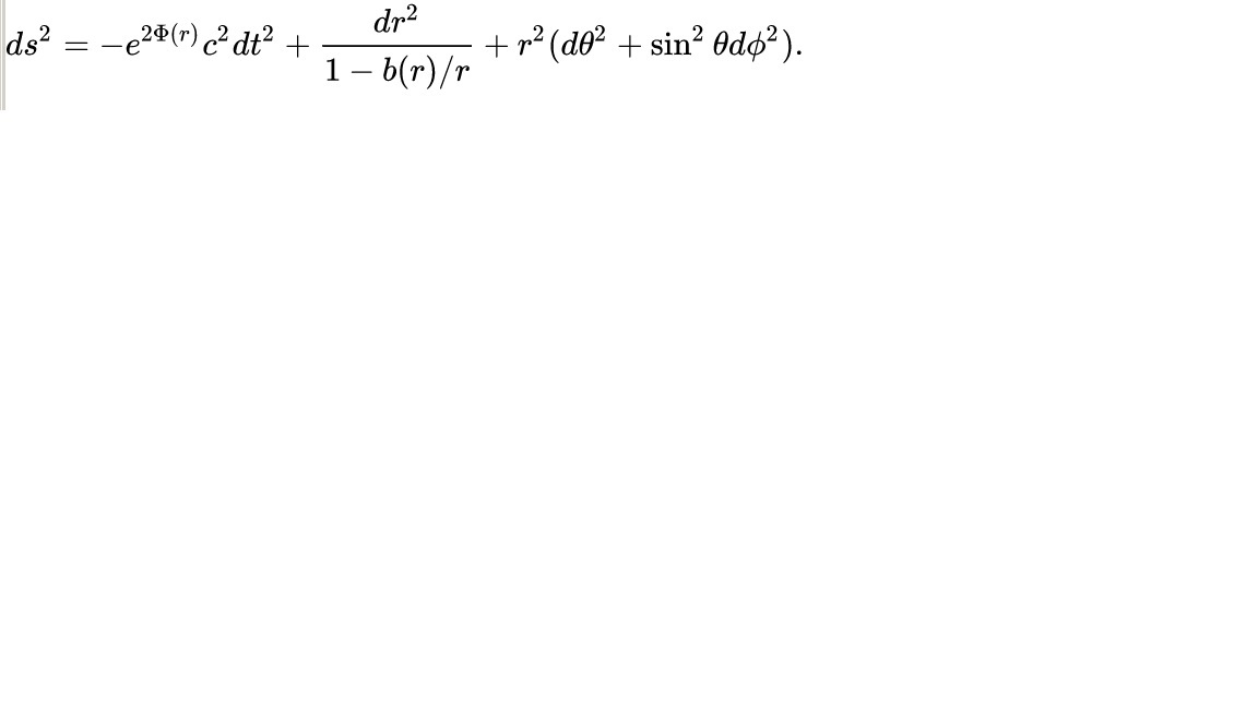
● アインシュタイン-ローゼン橋(はし)は、漸近的に平坦なアインシュタイン方程式の厳密解を極大に拡大した時空に現れるもので、2つの漸近的に平坦な時空を結ぶ構造となっている。
● 通過可能なアインシュタイン-ローゼン橋(はし)の数式を示す。
この数式において、 Φファイ ( r ) は 重力赤方偏移の尺度、b ( r ) はアインシュタイン-ローゼン橋(はし)の3次元形状と定義する。
● 両サイドを光の世界線(光の時空上の軌跡)にはさまれた「光円錐」
において、中央を貫く軸線は、下半分の円錐「過去領域」から、上半分の円錐「未来領域」へと進む「時間」を表している。
● ヴァン・ストッカム・ダストが、対称軸の周囲を回転して円柱を形成するとき、その対称軸に重力場が生成される。
この軸から外側に離れるにつれて光円錐は傾いていき、円柱の周囲に
CTC(closed timelike curve/時間的閉曲線)が形成される。 、
● 時間的閉曲線は、時間的な曲線であり、過去の世界への時間旅行を可能とする。
時間的閉曲線を含む時空を形成できれば、タイムマシンを作ることができる。
● ティプラー 円筒(Tipler cylinder)は、1936 年にウィレム ヤコブ ファン シュトックムと、1924 年にコーネル ランチョスによって一般相対性理論の方程式の解として発見された。
このティプラー円筒は、無限に長い円筒を高速で回転させるものである。また、この円筒は、各々の粒子が、互いに力を及ぼしあわないダスト流体からなる。
円筒表面の回転速度が、光速の半分以上になると、光円錐が傾いて、時間的な線が閉じる領域ができる。この領域では、時間がループになり、タイムトラベルが可能となる。
● ミンコフスキー時空
は、横軸に場所、縦軸に時間をとり、原点に観測者を置いた空間のことである。ミンコフスキー時空上の直線の傾きは、物体の速度を表す。特に、縦軸をでとっているため、光速の傾きが45度になる。この光速を表す線を母線とする円錐を、光錐
と呼ぶ。
あらゆる物体は光よりも早く動けないので、ミンコフスキー時空上で物体の運動を考えるとき、その物体を表す矢印の傾きは赤い線より大きくなくてはならない(矢印は光錐の内部にのみ存在できると言い換え可能)。さらに、物体は過去には進まないため、物体を表す矢印は下方向には向かない。
0
あなたにおすすめの小説
どうしよう私、弟にお腹を大きくさせられちゃった!~弟大好きお姉ちゃんの秘密の悩み~
さいとう みさき
恋愛
「ま、まさか!?」
あたし三鷹優美(みたかゆうみ)高校一年生。
弟の晴仁(はると)が大好きな普通のお姉ちゃん。
弟とは凄く仲が良いの!
それはそれはものすごく‥‥‥
「あん、晴仁いきなりそんなのお口に入らないよぉ~♡」
そんな関係のあたしたち。
でもある日トイレであたしはアレが来そうなのになかなか来ないのも気にもせずスカートのファスナーを上げると‥‥‥
「うそっ! お腹が出て来てる!?」
お姉ちゃんの秘密の悩みです。
百合ランジェリーカフェにようこそ!
楠富 つかさ
青春
主人公、下条藍はバイトを探すちょっと胸が大きい普通の女子大生。ある日、同じサークルの先輩からバイト先を紹介してもらうのだが、そこは男子禁制のカフェ併設ランジェリーショップで!?
ちょっとハレンチなお仕事カフェライフ、始まります!!
※この物語はフィクションであり実在の人物・団体・法律とは一切関係ありません。
表紙画像はAIイラストです。下着が生成できないのでビキニで代用しています。
恋愛リベンジャーズ
廣瀬純七
SF
拓也は、かつての恋人・純への後悔を抱えたまま生きてきた。ある日、過去へ戻れる不思議なアプリを手に入れるが戻った先で彼を待っていたのは、若き日の純ではなく――純そのものになってしまった自分自身だった。かつての恋人とやり直すはずが、過去の自分を相手に恋をするという奇妙で切ない関係が始まっていく。時間と心が交差する、不思議な男女入れ替わりストーリー。
三十年後に届いた白い手紙
RyuChoukan
ファンタジー
三十年前、帝国は一人の少年を裏切り者として処刑した。
彼は最後まで、何も語らなかった。
その罪の真相を知る者は、ただ一人の女性だけだった。
戴冠舞踏会の夜。
公爵令嬢は、一通の白い手紙を手に、皇帝の前に立つ。
それは復讐でも、告発でもない。
三十年間、辺境の郵便局で待ち続けられていた、
「渡されなかった約束」のための手紙だった。
沈黙のまま命を捨てた男と、
三十年、ただ待ち続けた女。
そして、すべてを知った上で扉を開く、次の世代。
これは、
遅れて届いた手紙が、
人生と運命を静かに書き換えていく物語。
ユーザ登録のメリット
- 毎日¥0対象作品が毎日1話無料!
- お気に入り登録で最新話を見逃さない!
- しおり機能で小説の続きが読みやすい!
1~3分で完了!
無料でユーザ登録する
すでにユーザの方はログイン
閉じる



