解散総選挙の争点、「責任ある積極財政」の合格点とは?私たちが負担する「インフレ税」で家計が痩せる

2026.01.21 Wedge ONLINE

成功条件の核心

 高市内閣のインフレ税を活用した財政再建策が成功するためには、まずインフレ率と名目経済成長率を適度な水準に維持することが不可欠である。この条件は「ドーマー条件」と呼ばれ、名目成長率が名目金利より高ければ、政府債務残高対名目GDP比率は自然に低下する。

 現在、国債金利は2%を上回る水準となっている。一方、名目経済成長率は例えば2024年度では3.7%とドーマー条件を満たしているため、インフレの進行で名目GDPは増加し、政府債務残高対名目GDP比率は減少している。

 これが現下の財政好転の理由である。このように名目経済成長率が名目金利を上回る状態を維持できるのであれば、高市内閣の「責任ある積極財政」は成功する。

 しかし、インフレが過度に進めば金利が急騰し、ドーマー条件は崩れる。インフレと金利の制御の難しさが最大の課題となる。

 内閣府「中長期の経済財政に関する試算(過去投影ケース)」によれば、27年にはドーマー条件が満たされなくなり、34年には名目経済成長率と名目金利はそれぞれ0.7%、1.6%になると見込まれている。つまり、これまでと同様のマクロ経済状況が続けば、インフレ頼みの高市内閣の「責任ある積極財政」はとん挫することになる。

(出所)内閣府資料「中長期の経済財政に関る資産」
(出所)内閣府資料「中長期の経済財政に関る資産」

 なお、成長移行ケース、高成長実現ケースにおいても、長期的には、名目経済成長率と名目金利は33年には逆転し、ドーマー条件が満たされなくなるので、条件は同じだ。

失敗シナリオの危険性

 このように、インフレ頼みの戦略には重大なリスクがある。第一のリスクは、インフレ制御の失敗である。適度なインフレを超えて物価が急騰すれば、生活コストが激増し、国民の不満が高まる。特に食料品やエネルギー価格の上昇は低所得層に直撃し、社会不安を引き起こす可能性がある。

 第二のリスクは、実質賃金の低下である。賃金上昇がインフレに追いつかない場合、国民の購買力は減退し、消費が冷え込み、景気悪化の悪循環に陥る。

 第三のリスクは、金利急騰による財政悪化である。インフレ期待が高まると国債利回りが上昇し、政府の利払い負担が増加する。これにより、財政再建どころか、債務問題がさらに深刻化する恐れがある。

 第四のリスクは、国際的な信認危機である。政策が「債務軽減のためのインフレ操作」と見なされれば、海外投資家の資本流出が加速し、円安が進行し、輸入物価の上昇を通じてさらなるインフレを招く。この悪循環は、日本経済に深刻な打撃を与える。

結局、必要となるPBの黒字化

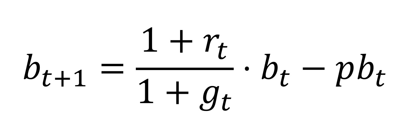
 インフレを利用した財政再建の効果を考えるためには、名目経済成長率や名目金利、プライマリーバランス(PB)をもとに政府債務残高の推移を考えることが必要である。ここでは、経済学で広く用いられる政府債務の推移式を基に、評価してみる。

 政府債務の変化は次の式で表される。

 ここで、b_t は政府債務残高対名目GDP比率、g_t は名目経済成長率、r_t は名目金利、pb_t はプライマリーバランス(黒字)である。この式のもとで名目成長率が金利を上回る状態、すなわちドーマー条件が成立し、プライマリーバランス赤字が小さければ、政府債務残高対名目GDP比率は低下していくことが数学的に証明できる。

 一方、内閣府の見込みのように、ドーマー条件が成立しなくなる場合、いずれプライマリーバランスが黒字化しなければ、財政は発散してしまう。結局、「責任ある積極財政」といえども、プライマリーバランスを重視せざるを得なくなるのだ。